首页
2024-11-09 10:06:05
高等数学二(专升本)
1
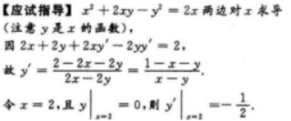
【正确答案】:
【答案】-
【考情点拨】本题考查了隐函数在一点处的一阶导数的知识点.
上一篇:
下一篇: