首页
2024-11-09 10:05:59
高等数学二(专升本)
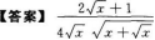
【正确答案】:
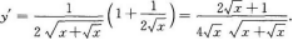
【考情点拨】本题考查了复合函数求导的知识点.
由复合函数求导法, 则,
上一篇:
下一篇: