首页
2024-11-09 10:05:49
高等数学二(专升本)
A、A
B、B
C、C
D、D
【正确答案】:B
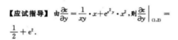
【题目解析】:
【考情点拨】本题考查了二元函数的一点处的一阶偏导数的知识点.
上一篇:
下列极限计算正确的是()
下一篇:
曲线Y=3x2-x3的凸区间为()