首页
2024-11-09 10:05:44
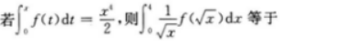
高等数学二(专升本)
A、2
B、4
C、8
D、16
【正确答案】:D
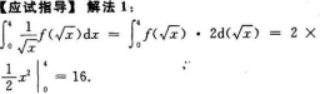
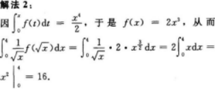
【题目解析】:
【考情点拨】本题考查了定积分的换元积分法的知识点.
上一篇:
求由方程2x2+y2+z2+2xy-2x-2y-4x+4=0确定的隐函数的全微分.
下一篇:
y=xx,则dy=()