首页
一批零件中有10个合格品,3个次品,安装机器时,从这批零件中任取一个,取到合格品才能安装.若取出的是次品,则不再放回,求在取得合
2024-11-09 10:05:41
高等数学二(专升本)
1
一批零件中有10个合格品,3个次品,安装机器时,从这批零件中任取一个,取到合格品才能安装.若取出的是次品,则不再放回,求在取得合格品前已取出的次品数X的概率分布.
【正确答案】:
由题意,X的可能取值为0,1,2,3.X=0,即第一次就取到合格品,没有取到次品,P{X=0}=
;X=1,即第一次取到次品,第二次取到合格品,P{X=1}=
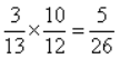
;同理,P{X=2)=
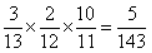
;P{X=3}=
上一篇:
已知曲线y=ax3+bx2+cx在点(1,2)处有水平切线,且原点为该曲线的拐点,求a,b,c的值,并写出此曲线的方程.
下一篇:
求由方程2x2+y2+z2+2xy-2x-2y-4x+4=0确定的隐函数的全微分.