首页
2024-11-09 10:05:26
高等数学二(专升本)
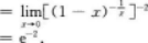
【正确答案】:
【答案】e-2
【应试指导】
上一篇:
下一篇: