首页
2024-11-09 10:05:22
高等数学二(专升本)
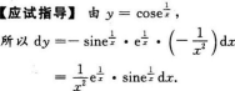
【正确答案】:
【考情点拨】本题考查了一元函数的微分的知识点.
上一篇:
下一篇: