首页
2024-11-09 10:05:09
高等数学二(专升本)
A、高阶无穷小
B、低阶无穷小
C、等价无穷小
D、不可比较
【正确答案】:C
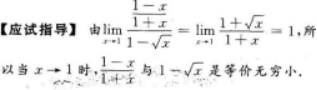
【题目解析】:
【考情点拨】本题考查了无穷小量阶的比较的知识点.
上一篇:
曲线x2+y2=2x在点(1,1)处的法线方程为()
下一篇:
函数y=x+cosx在(0,2π)内()