首页
2024-11-09 10:04:54
高等数学二(专升本)
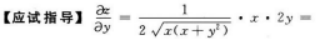
【正确答案】:
【答案】
【考情点拨】本题考查了二元函数的一阶偏导数的知识点.
上一篇:
曲线Y=x3-3x2+2x+1的拐点是.
下一篇: