首页
2024-11-09 10:04:47
高等数学二(专升本)
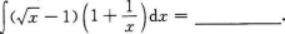
【正确答案】:
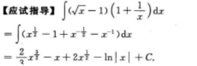
【考情点拨】本题考查了不定积分的知识点.
上一篇:
下一篇: