首页
2024-11-09 10:04:44
高等数学二(专升本)
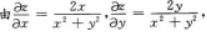
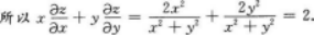
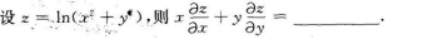
【正确答案】:
【答案】2【考情点拨】本题考查了二元函数的一阶偏导数的知识点. 【应试指导】
上一篇:
下一篇: