首页
设z=xy,则dz=()
2024-11-09 10:04:42
高等数学二(专升本)
设z=xy,则dz=()
A、A
B、B
C、C
D、D
【正确答案】:A
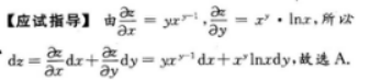
【题目解析】:
【考情点拨】本题考查了二元函数的全微分的知识点.
上一篇:
下一篇: