首页
2024-11-09 10:04:38
高等数学二(专升本)
A、A
B、B
C、C
D、D
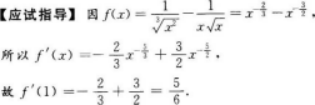
【正确答案】:B
【题目解析】:
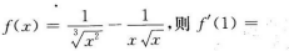
【考情点拨】本题考查了一元函数的一阶导数的知识点.
上一篇:
下一篇: