首页
2024-11-09 10:04:05
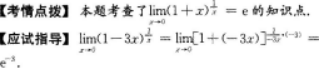
高等数学二(专升本)
【正确答案】:
【答案】e-3
上一篇:
曲线y=x3+2x在点(1,3)处的法线方程是()
下一篇: