首页
设区域D={(x,y)(0≤y≤x2,0≤x≤1),则D绕X轴旋转一周所得旋转体的体积为()
2024-11-09 10:03:58
高等数学二(专升本)
设区域D={(x,y)(0≤y≤x2,0≤x≤1),则D绕X轴旋转一周所得旋转体的体积为()
A、A
B、B
C、C
D、D
【正确答案】:A
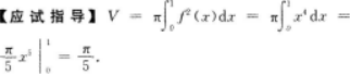
【题目解析】:
【考情点拨】本题考查了旋转体的体积的知识点.
上一篇:
下一篇:
若y=1+cosx,则dy=()