首页
2024-11-09 10:03:36
高等数学二(专升本)
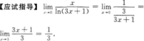
【正确答案】:
【答案】
【考情点拨】本题考查了洛必迭法则的知识点.
上一篇:
下一篇:
由曲线y=x3,直线x=1,z轴围成的平面有界区域的面积为_________.