首页
下列函数中,在x=0处不可导的是()
2024-11-09 10:03:27
高等数学二(专升本)
下列函数中,在x=0处不可导的是()
A、A
B、B
C、C
D、D
【正确答案】:B
【题目解析】:
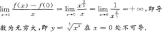
【考情点拨】本题考查了函数的可导性的知识点.【应试指导】对于B项,在点x=0处有
上一篇:
曲线y=x3-3x2-1的凸区间是()
下一篇:
二元函数z=x2+y2-3x-2y的驻点坐标是()