首页
2024-11-09 10:03:03
高等数学二(专升本)
【正确答案】:
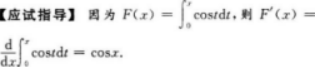
【答案】cosx【考情点拨】本题考查了变上限积分求导的知识点.
上一篇:
下一篇:
设事件A发生的概率为0.7,则A的对立事件A发生的概率为.