首页
2024-11-09 10:02:49
高等数学二(专升本)
A、-l
C、1
D、2
【正确答案】:C
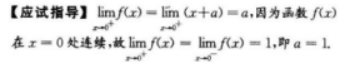
【题目解析】:
【考情点拨】本题考查了分段函数在一点连续的知识点.
上一篇:
A.cosx B.-cosX C.2+cosX
下一篇: