首页
2024-11-09 10:02:47
高等数学二(专升本)
B、1
C、2
D、3
【正确答案】:C
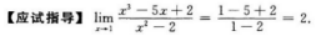
【题目解析】:
【考情点拨】本题考查了极限的知识点.
上一篇:
下一篇:
A.cosx B.-cosX C.2+cosX