首页
2024-11-09 10:02:44
高等数学二(专升本)
A、-l
C、1
D、2
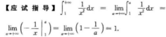
【正确答案】:C
【题目解析】:
【考情点拨】本题考查了反常积分的知识点.
上一篇:
下一篇: