首页
2024-11-09 10:02:41
高等数学二(专升本)
A、1
B、3
C、5
D、7
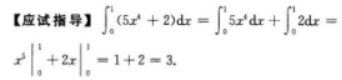
【正确答案】:B
【题目解析】:
【考情点拨】本题考查了定积分的知识点.
上一篇:
下一篇: