首页
2024-11-09 10:02:12
高等数学一(专升本)
A、A
B、B
C、C
D、D
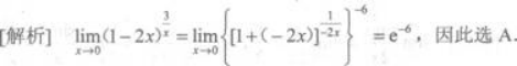
【正确答案】:A
【题目解析】:
上一篇:
函数f(x)在点x=x0处连续是f(x)在x0处可导的( )
下一篇:
设f(x,y)为连续函数,