首页
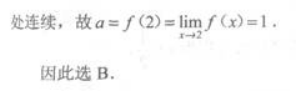
设f(x)在点x=2处连续,( )
2024-11-09 10:01:54
高等数学一(专升本)
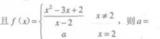
设f(x)在点x=2处连续,
( )
B、1
C、2
D、任意值
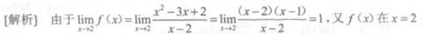
【正确答案】:B
【题目解析】:
上一篇:
下一篇:
函数f(x)=2x3-9x2+12x-3单调减少的区间为( )