首页
2024-11-09 10:01:44
高等数学一(专升本)
A、高阶无穷小
B、同阶但不等价无穷小
C、等价无穷小
D、低阶无穷小
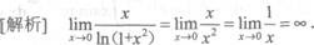
【正确答案】:D
【题目解析】:
根据无穷小阶的比较的定义可知,当x→0时,x是ln(1+x2)的低阶无穷小,因此选D.
上一篇:
下一篇:
设A是一个常数,( )