首页
2024-11-09 10:01:32
高等数学一(专升本)
A、2
B、1
D、-1
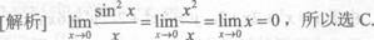
【正确答案】:C
【题目解析】:
上一篇:
曲线y=x3-6x+2的拐点坐标( )
下一篇:
设f(x)在点xo的某邻域内有定义,( )