首页
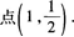
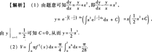
(1)求曲线y=f(x); (2)求由曲线y=f(x),y=0,x=1所围图形绕x轴旋转一周所得旋转体体积.
2024-11-09 10:01:12
高等数学一(专升本)
(1)求曲线y=f(x); (2)求由曲线y=f(x),y=0,x=1所围图形绕x轴旋转一周所得旋转体体积.
【正确答案】:
上一篇:
(1)求函数y=f(x)的表达式; (2)讨论函数y=fx)在(0,+∞)内的单调性.
下一篇:
求微分方程的通解.