首页
微分方程y'=x的通解为()
2024-11-09 10:00:54
高等数学一(专升本)
微分方程y'=x的通解为()
A、A
B、B
C、C
D、D
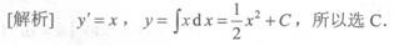
【正确答案】:C
【题目解析】:
上一篇:
下一篇:
微分方程y'=1的通解为()