首页
2024-11-09 10:00:26
高等数学一(专升本)
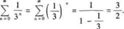
【正确答案】:
由等比级数和的公式有
上一篇:
下一篇: