首页
2024-11-09 10:00:18
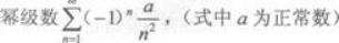
高等数学一(专升本)
A、绝对收敛
B、条件收敛
C、发散
D、收敛性与口有关
【正确答案】:A
【题目解析】:
上一篇:
下一篇: