首页
2024-11-09 10:00:10
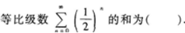
高等数学一(专升本)
A、4
B、3
C、2
D、1
【正确答案】:C
【题目解析】:
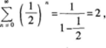
由等比级数和的公式有
故选C.
上一篇:
下一篇:
设幂级数在x=2处收敛,则该级数在x=-1处必定().