首页
2024-11-09 10:00:06
高等数学一(专升本)
A、收敛且和为0
B、收敛且和为a
C、收敛且和为a-a1
D、发散
【正确答案】:C
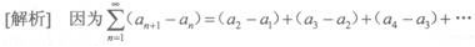
【题目解析】:
上一篇:
设un≤vn(n=1,2,…),则()
下一篇:
下列命题中正确的有()