首页
设区域D={(x,y)|-1≤x≤1,-2≤y≤2),
2024-11-09 09:59:15
高等数学一(专升本)
设区域D={(x,y)|-1≤x≤1,-2≤y≤2),
B、2
C、4
D、8
【正确答案】:A
【题目解析】:
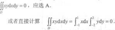
积分区域关于y轴对称,被积函数xy为X的奇函数,可知
上一篇:
下一篇: