首页
2024-11-09 09:59:05
高等数学一(专升本)
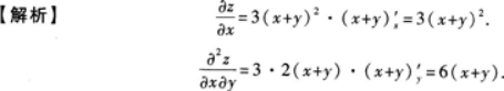
A、3(x+y)
B、3(x+y)2
C、6(x+y)
D、6(x+y)2
【正确答案】:C
【题目解析】:
上一篇:
下一篇: