首页
2024-11-09 09:58:08
高等数学一(专升本)
1
【正确答案】:
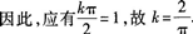
所给问题为计算反常积分的反问题,由于
上一篇:
下一篇: