首页
2024-11-09 09:57:32
高等数学一(专升本)
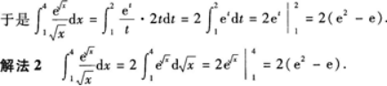
【正确答案】:
【评析】如果在定积分运算中引入新变元,积分限一定要随之相应变化.如果利用凑微分法运算,不需变积分限.
上一篇:
下一篇: