首页
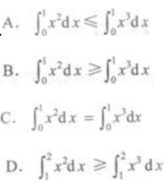
下列不等式成立的是()
2024-11-09 09:57:05
高等数学一(专升本)
下列不等式成立的是()
A、A
B、B
C、C
D、D
【正确答案】:B
【题目解析】:在[0,1]上,x2≥x3,由定积分的性质可知选B.同样在[1,2]上,x2≤x3,可知D不正确.
上一篇:
若f(x)为[a,b]上的连续函数,()
下一篇: