首页
2024-11-09 09:56:39
高等数学一(专升本)
A、A
B、B
C、C
D、D
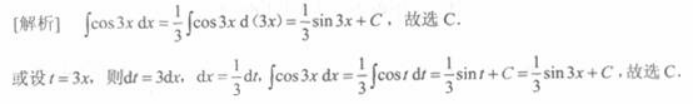
【正确答案】:C
【题目解析】:
上一篇:
下一篇:
等于().