首页
2024-11-09 09:56:35
高等数学一(专升本)
A、A
B、B
C、C
D、D
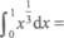
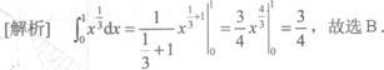
【正确答案】:B
【题目解析】:
上一篇:
下一篇: