首页
2024-11-09 09:56:28
高等数学一(专升本)
A、
>0
B、
<0
C、
=0
D、
不存在
【正确答案】:A
【题目解析】:
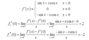
对于含有绝对值的函数,求导时需讨论不同条件。
f+″(0)≠f-″(0),则f″(0)不存在。
上一篇:
下一篇:
设函数f(x)=sinx,