首页
2024-11-09 09:56:20
高等数学一(专升本)
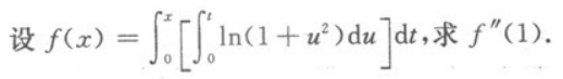
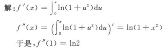
【正确答案】:
上一篇:
设Y=xsinx,求Y′.
下一篇: