首页
2024-11-09 09:55:46
高等数学一(专升本)
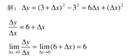
【正确答案】:
上一篇:
下一篇:
设y=5+lnx,则dy=_______。