首页
2024-11-09 09:55:42
高等数学一(专升本)
【正确答案】:
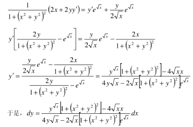
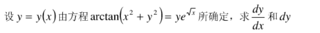
解:对方程两边关于x求导,y看做x的函数,按中间变量处理
上一篇:
设,f(x)在点x0处取得极值,则().
下一篇: