首页
2024-11-09 09:55:34
高等数学一(专升本)
A、A
B、B
C、C
D、D
【正确答案】:C
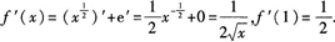
【题目解析】:
由导数的加法运算法则,可得
故选C.
上一篇:
下一篇:
设Y=sinx+COSx,则dy等于().