首页
2024-11-09 09:54:59
高等数学一(专升本)
B、1
C、3
D、6
【正确答案】:C
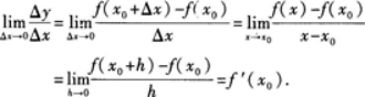
【题目解析】:
所给问题为导数定义的问题,由导数定义可知
故选C.【评析】导数定义的问题通常考虑y=f(x)在点x0处导数的定义的标准形式与等价形式
上一篇:
下一篇: