首页
2024-11-09 09:54:40
高等数学一(专升本)
1
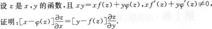
【正确答案】:
在已知等式两边对z求导,y视为常数,有
上一篇:
下一篇: