首页
2024-11-09 09:54:36
高等数学一(专升本)
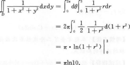
【正确答案】:
用极坐标系进行计算.
上一篇:
下一篇: