首页
2024-11-09 09:54:34
高等数学一(专升本)
【正确答案】:
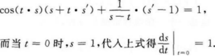
在sin(t·s)+ln(s-t)=t两边对t求导,视s为t的函数,有
上一篇:
微分方程y′′+6y′+13y=0的通解为.
下一篇: