首页
2024-11-09 09:54:26
高等数学一(专升本)
【正确答案】:
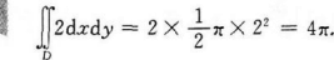
【答案】4π【考情点拨】本题考查了二重积分的知识点. 【应试指导】因积分区域为圆x2+y2=22的上半圆,则
上一篇:
下一篇: