首页
2024-11-09 09:54:21
高等数学一(专升本)
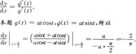
【正确答案】:
【答案】
【考情点拨】本题考查了对由参数方程确定的函数求导的知识点, 【应试指导】
上一篇:
下一篇: